您當前的位置 : 東北網  >  龍江看天下  >  龍江時間  >  看龍江

春節期間黑龍江省公安出入境窗口『延時』服務

時間:2026-02-11 10:54:19  來源:黑龍江省公安廳  作者:

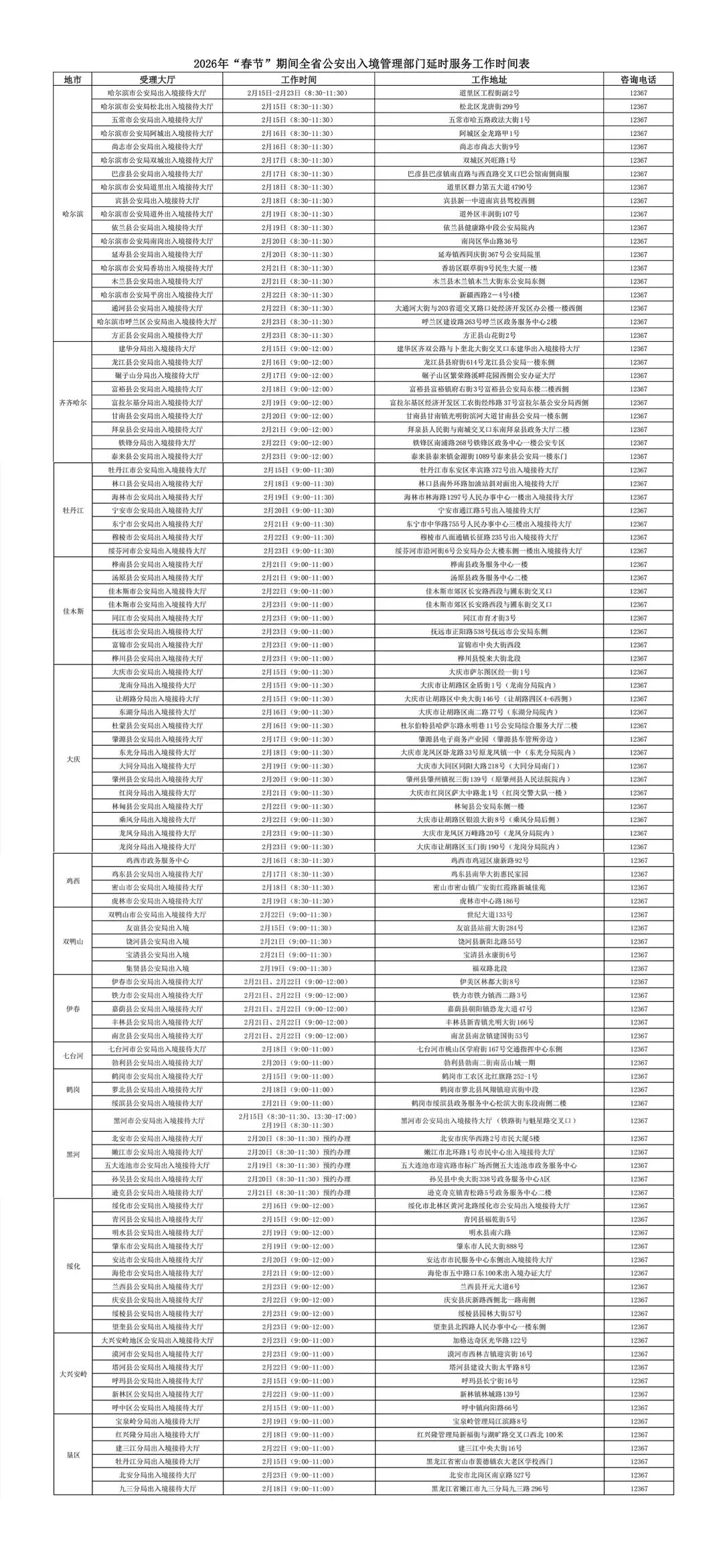
  春節假期將至,為確保廣大群眾順利辦理出入境證照,全省各級公安出入境管理部門精心安排窗口工作時間,堅持『服務不打烊、辦證不間斷』。省公安廳匯總發布全省公安出入境窗口春節服務時間表,方便您合理安排辦證計劃。

  全省公安出入境管理部門將持續優化服務流程,保障假期辦證順暢,陪伴您溫暖過年、平安出行。

  各地窗口具體工作時間

責任編輯:王聰